2026年全國研究生招生考試《數學一》真題及答案解析(完整版)

2026年考研數學一已落下帷幕,這次考試較好地延續了“偶數年”偏難的規律,並且在命題思路上體現出了幾個明確的新趨勢研究生。對於備戰2027年及之後的考生來說,深入分析這張試卷的特點至關重要。

一、數學一試卷呈現出三大核心特徵

1、難度“穩中有升”

整體符合“偶數年”難度較大的傳統預期研究生。命題更強調對核心概念(如極限定義、中值定理)的本質理解,而非簡單套用公式。

2、計算量是硬性門檻

延續了近年計算量增大的趨勢,特別是線性代數等大題,對解題速度和準確性提出了更高要求研究生。計算結果不再是輔助,而是得分的關鍵。

3、綜合性成為常態

純粹考查單一知識點的題目減少,跨章節、跨模組的綜合題比例顯著增加研究生。例如,一道題目可能綜合考查微分方程、多元函式極值與線性代數特徵值等多個知識點,要求考生構建完整的知識網路。

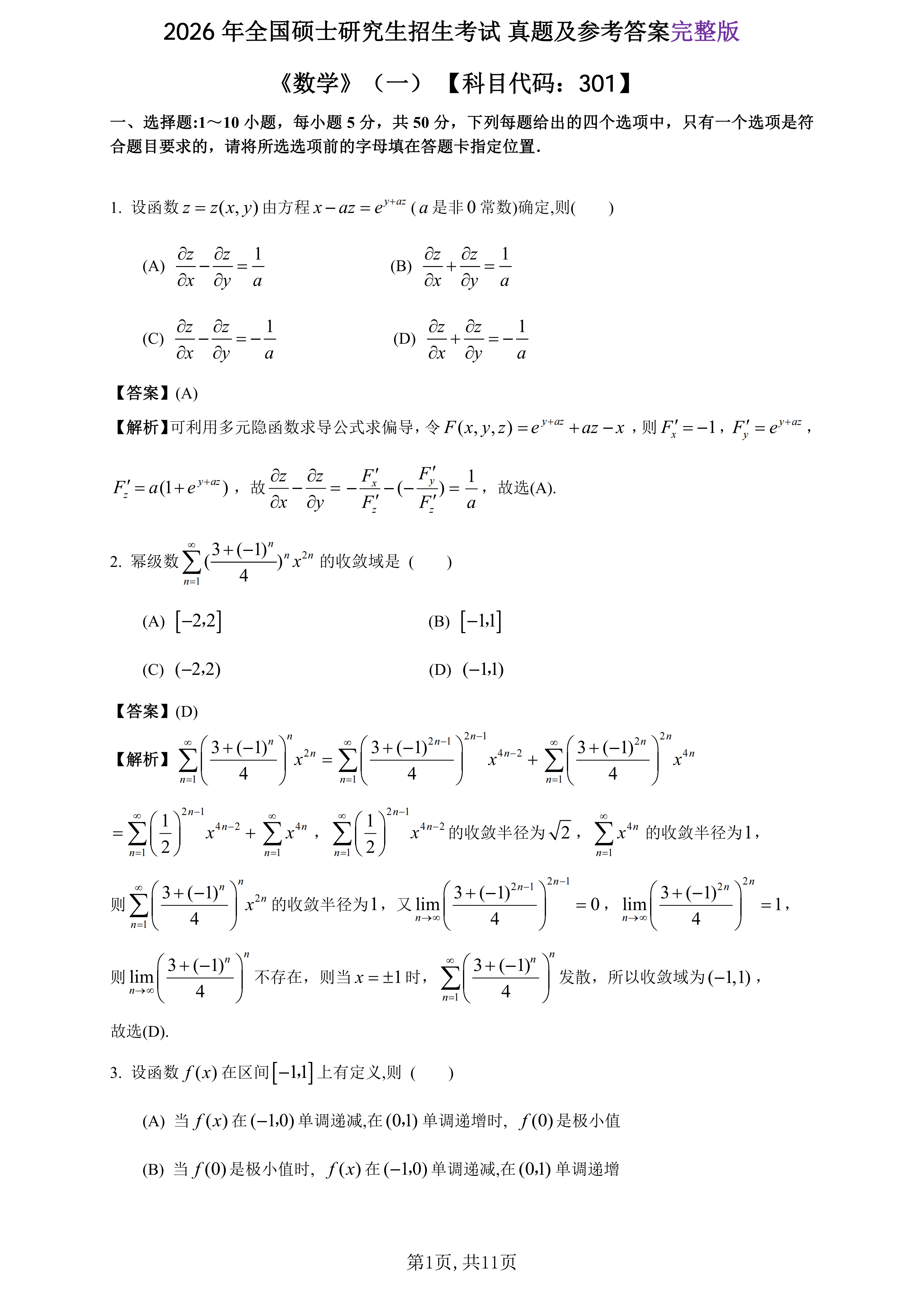
二、數學一試題及答案解析

(注:由於篇幅所限研究生,僅展示部分圖片,PDF完整版可檢視:

2026年全國研究生招生考試《數學一》真題及答案解析(完整版) 2026年全國研究生招生考試《數學一》真題及答案解析(完整版)

展開全文

2026年全國研究生招生考試《數學一》真題及答案解析(完整版) 2026年全國研究生招生考試《數學一》真題及答案解析(完整版)
本站內容來自使用者投稿,如果侵犯了您的權利,請與我們聯絡刪除。聯絡郵箱:[email protected]

本文連結://mobile.sdhbcy.com/post/5628.html

🌐 /